咨询热线:400-065-6886
微塑料对环境及动植物的危害一直是研究的热点问题。今天,小编就介绍一篇来自清华大学环境学院等单位科研人员发表在《Science of the Total Environment》(IF = 10.753)上的论文。该研究利用天昊生物16S细菌扩增子测序,深入探讨了次级聚乙烯微塑料暴露对鲫鱼生长、肝损伤和肠道微生物组组成的影响。


背景简介
近年来,由于塑料的过度使用,在地表水和沉积物等自然环境中甚至在水生动物器官中也观察到了微塑料(MP,直径:1 μm–5 mm)。一些研究表明,MPs对鱼类行为、神经功能、新陈代谢和肠道微生物群多样性有不利影响。然而,现有的关于MPs对鱼类的影响和毒性的研究还不够。
MP的来源有初级MP和次级MP。次级MPs源自大型塑料通过紫外线照射、温度变化和机械等物理、生物和化学过程的分解。这些MPs具有不规则的形状和粗糙的表面,可以吸收环境污染物并对鱼类产生不同而严重的影响。然而,大多数研究使用尺寸均匀且表面光滑的初级MP,来评估 MP 对鱼类的影响,而次级MPs很难获得并与环境分离。因此,为了探究MPs对鱼类的真实影响,有必要选择具有代表性的MPs作为鱼类更容易暴露的实验材料。
本研究选择杂食性和普遍存在的淡水鱼鲫鱼(Carassius carassius)作为实验对象。研磨农用薄膜以模拟次级聚乙烯微塑料(PE-MP)。我们旨在通过食物暴露全面检测次级PE-MPs 对鲫鱼生长、肝损伤和肠道微生物组组成的影响。
研究方法
从水产超市购入健康鲫鱼。使用研磨机研磨农用薄膜以模拟次级PE-MP。使用激光颗粒分析仪、激光拉曼光谱仪和扫描电子显微镜测定确定PE-MP的PE-MP 的尺寸分布、拉曼光谱和颗粒形貌。
分别喂食对照、低、中和高 PE-MPs 组鱼食(每条鱼每天的PE-MPs摄入量分别为 0.00、6.38、12.18和22.33 mg),每组有三个平行的重复水箱(每个水箱有10只鲫鱼)。我们选择了30天持续处理时间来探索相对较长时间内PE-MPs暴露对鲫鱼的影响。
鲫鱼肠道内容物16S rRNA扩增子测序(V3-V4区)由天昊生物完成的。每组随机抽取15只鲫鱼(每个水箱5只鲫鱼),分离内脏后,用生理盐水冲洗肠道外壁三次,挤出肠道内容物。随后,将同一水箱5只鲫鱼的肠道内容物混合为一个样本,三个样本为平行组。
研究结果
本研究首先对PE-MPs进行表征。随后对鲫鱼粪便中PE-MPs进行检测。结果显示低PE-MPs组粪便中具有较小的PE-MPs(300-750μm),而高PE-MPs组的粪便中存在较大的PE-MPs尺寸。
之后在实验前后测量了鲫鱼的长度和重量,以确定PE-MPs暴露对鲫鱼生长的影响。结果表明,PE-MPs处理组的鲫鱼长度和重量高于对照组。如图1A所示,实验前和对照组、低、中、高PE-MPs组的平均长度分别为7.91、7.94、9.05、9.43和8.83 cm。结果表明PE-MPs中量组鲫鱼的生长速度显着提高。不同组的体重变化与长度的变化相似。与对照组相比,中等 PE-MPs 组的体重变化很大(图1B)。然而,如图2A和B所示,高PE-MPs组鲫鱼的生长速度呈明显下降趋势,表明高PE-MPs浓度可能对鲫鱼生长产生更多不利影响。

图1、实验前后对鲫鱼生长的影响(对照、低、中、高 PE-MPs 组)。(A) 全长变化。(B) 重量变化。(原文图2)
随后实验对肝脏进行了组织学分析。与对照组相比,对于低PE-MPs组,发现胰腺中一些腺泡上皮细胞的空泡变性,可以观察到肝组织广泛出血和大量红细胞,但是肝细胞结构正常。中等PE-MPs组胰腺部分腺泡上皮细胞坏死变性伴固缩,细胞核红色染色和脂褐质沉积。此外,肝细胞数量减少,白细胞数量增加。在高PE-MP组中也观察到对肝脏的损害。肝细胞排列松散杂乱,间隙扩大。胰腺腺泡排列紊乱,上皮细胞坏死退变,大量脂褐质沉积。总之,这些结果表明在PE-MPs暴露后鲫鱼肝脏发生了病理性改变。
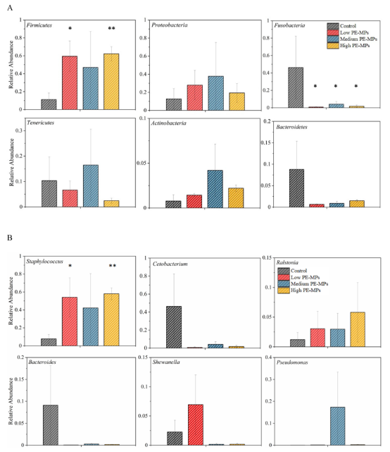
本研究重点对不同PE-MPs处理的鲫鱼肠道内容物微生物组组成进行了检测。结果表明,在门水平上,对照组厚壁菌门(Firmicutes)的相对丰度为11.16%,在实验组中都显着上升(图2A)。与对照组相比,PE-MPs处理组的梭杆菌门(Fusobacteria)和拟杆菌门(Bacteroidetes)显着下降。在属水平上,各组菌属水平也有明显变化(图2B),暴露于PE-MPs后,葡萄球菌属(Staphylococcus)和罗尔斯顿菌属(Ralstonia)大量繁殖,而乙酸杆菌属(Cetobacterium)和拟杆菌属(Bacteroides)减少。

图2、对照、低、中和高PE-MPs组鲫鱼肠道内容物细菌组成。(A) 门水平细菌的相对丰度。(B) 属水平上细菌的相对丰度。(原文图4)
α多样性指数显示,肠道中的多样性对照组<低PE-MPs组<中PE-MPs组<高PE- MPs组。此外,主坐标分析(PCoA)和维恩图显示,PE-MPs暴露后肠道微生物组组成发生了显着变化(图3)。如图3所示,在对照、低、中和高PE-MP 组中分别观察到总共444、680、1292和2427个OTU。

研究结论
本研究使用机械研磨方法来模拟具有广泛尺寸范围和各种形状的次级PE-MP。在不同实验组的粪便中检测到MPs,表明在低PE-MPs组的鲫鱼体内积累了较大的PE-MPs,而在喂食高 PE-MPs浓度的鱼饲料时,鲫鱼体内存在较小的颗粒。由于厚壁菌门和拟杆菌门的增加和减少,PE-MPs暴露后鲫鱼生长得到促进丰度分别与脂质积累有关。但高PE-MPs组鲫鱼的生长速度呈现明显下降趋势。组织学分析显示,PE-MPs暴露后鲫鱼肝脏受到严重损害。与对照组相比,PE-MPs处理组的鲫鱼肠道中存在有害细菌,这可能会增加多样性并改变肠道微生物组的组成。这些结果揭示了二次PE-MP暴露于鲫鱼细胞的潜在毒性。
